Dessinez la structure des aldéhydes et cétones suivants :
|
1) Éthanal (acétaldéhyde) |
SOLUTION:
1) Éthanal (acétaldéhyde)

2) 3-méthylbutanal

3) Benzaldéhyde

4) 4-Hydroxycyclohexanecarbaldéhyde

5) 3-Hydroxy-4-méthyl-5-oxocyclohexanecarbaldéhyde

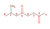
6) 2-méthyl-2,5-octanedione

7) 2,5-dioxooctanedial

8) 1,3-cyclohexanedione

9) 3-méthyl-3-penténal

10) 3-Oxobutanal

11) 3-Hydroxycyclopentanone

12) 4-éthoxy-5-phényl-3-oxoheptanal
