Formuler les dérivés suivants du benzène :
| 1) 1-éthyl-3-méthylbenzène 2) p-Diméthylbenzène 3) 1-butyl-3-éthylbenzène 4) o-chloronitrobenzène 5) m-bromochlorobenzène 6) p-Diisopropylbenzène 7) 1-tert-butyl-4-méthylbenzène 8) o-Allylvinylbenzène 9) m-Ethylpropylbenzène 10) 2-éthyl-1,4-diméthylbenzène |
11) 4,5-diphényl-1-octène 12) 2-phényl-4-méthylhexène 13) 1-(méthyléthyl)-2-(2-méthylpropyl)benzène 14) 6-Phényl-3-méthylhexa-1,4-diène 15) cis-1-phényl-1-butène 16) trans-2-phényl-2-butène 17) 7-éthyl-4,5-diphényldéc-5-èn-1-yne 18) m-dicyclohexylbenzène 19) p-cyclobutylcyclobutylbenzène 20) 3-(1,1-diphényléthyl)-3-méthylhex-1-èn-5-yne. |
SOLUTION:
1) 1-éthyl-3-méthylbenzène

2) p-Diméthylbenzène

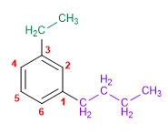
3) 1-butyl-3-éthylbenzène

4) o-chloronitrobenzène

5) m-bromochlorobenzène

6) p-Diisopropylbenzène

7) 1-tert-butyl-4-méthylbenzène

8) o-Allylvinylbenzène

9) m-Ethylpropylbenzène

10) 2-éthyl-1,4-diméthylbenzène

11) 4,5-diphényl-1-octène

12) 2-phényl-4-méthylhexène

13) 1-(méthyléthyl)-2-(2-méthylpropyl)benzène

14) 6-Phényl-3-méthylhexa-1,4-diène

15) cis -1-phényl-1-butène

16) trans -2-phényl-2-butène

17) 7-éthyl-4,5-diphényldéc-5-èn-1-yne

18) m-dicyclohexylbenzène

19) p-cyclobutylcyclobutylbenzène

20) 3-(1,1-diphényléthyl)-3-méthylhex-1-èn-5-yne.
