Welcome, Guest
Username: Password: Remember me
  • Page:
  • 1

TOPIC:

tratamiento de fenil etil cetona con Mg/THF 16 years 3 months ago #681

Hola!ayer tuve un examen de orgánica y me pusieron esta cuestión:
tras sintetizar fenil etil cetona decir qué compuesto (A) resulta al tratarla con Mg/THF seguido de H2O.
Dan una pista: si tratamos (A)con H2SO4(dil) y con HIO4 se obtiene en ambos casos un compuesto carbonílico.

Mi problema es: creo que da un 1,1-gemdiol pero no puedo tratarlo con HIO4, solo reaccionan con HIO4 los 1,2-gemdioles no??

Gracias!!

Please Iniciar sessão or Create an account to join the conversation.

Last edit: by lamarijose7.

Re: tratamiento de fenil etil cetona con Mg/THF 16 years 3 months ago #682

Hola María,

¿La reacción de la cetona es con Mg o con un organometálico de magnesio?

Please Iniciar sessão or Create an account to join the conversation.

Re: tratamiento de fenil etil cetona con Mg/THF 16 years 3 months ago #683

Hola, es sólo con Mg/THF

Please Iniciar sessão or Create an account to join the conversation.

Re: tratamiento de fenil etil cetona con Mg/THF 16 years 3 months ago #684

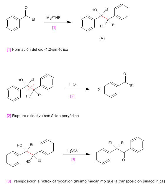
Si claro, Mg. Se trata de una condensación de dos moléculas de cetona para formar un diol simétrico (similar a la condensación aciloínica). Suele utilizarse como reactivo Na/tolueno.

Enseguida te indico unas etapas.

Please Iniciar sessão or Create an account to join the conversation.

Re: tratamiento de fenil etil cetona con Mg/THF 16 years 3 months ago #685



Saludos

Please Iniciar sessão or Create an account to join the conversation.

Re: tratamiento de fenil etil cetona con Mg/THF 16 years 3 months ago #686

Muchas gracias Germán, la verdad es q no habria dado con la respuesta.
Un saludo!

Please Iniciar sessão or Create an account to join the conversation.

  • Page:
  • 1
Time to create page: 0.233 seconds