Acyloin-Kondensation wandelt Ester [1] in Alpha-Hydroxyketone [2] um. Diese Reaktion wird mit Natriummetall in einem inerten Lösungsmittel durchgeführt.

Mechanismus:
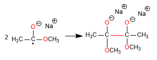
Stufe 1. Bildung des Radikalanions

Stufe 2. Dimerisierung

Stufe 3. Elimination

Stufe 4. Bildung von Enodiolat

Schritt 5. Protonierung des Enodiolats

Stufe 6. Tautomerie

intramolekulares Acyloin
