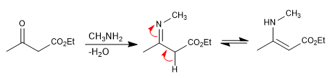
Il consiste en la réaction d'une amine primaire avec un 3-cétoester formant une imine, qui se tautomérise plus tard en énamnine, attaquant une a-halocétone. Dans une étape ultérieure de cyclisation, le pyrrole est obtenu.

Mécanisme:
Étape 1. Formation de l'énamine

Etape 2. Attaque de l'énamine sur l' a -halocétone

Étape 3. Faire du vélo

Étape 4. Déshydratation
