|
Welcome,
Guest
|
TOPIC:
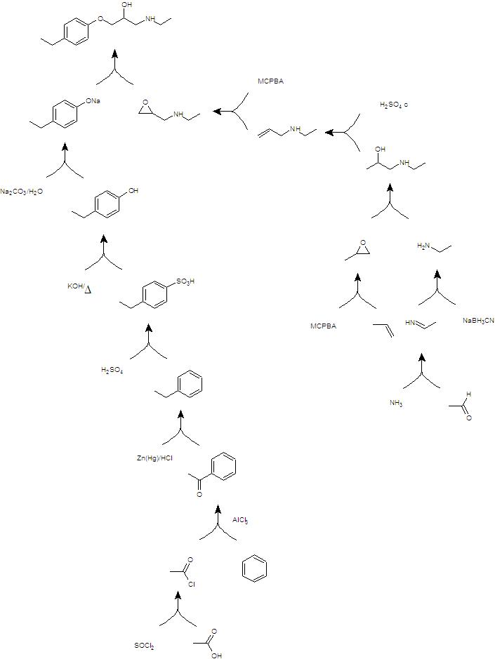
Re: Síntesis de aminas, aldehidos y cetonas 13 years 10 months ago #5842
|
|
Please Connexion or Create an account to join the conversation. |
Re: Síntesis de aminas, aldehidos y cetonas 13 years 10 months ago #5843
|
|
Please Connexion or Create an account to join the conversation. |
Re: respuesta de la MOB 03 13 years 10 months ago #5846
|
|
Please Connexion or Create an account to join the conversation. |
Re: respuesta de la MOB 05 13 years 10 months ago #5847
|
|
Please Connexion or Create an account to join the conversation. |
Re: Síntesis de aminas, aldehidos y cetonas 13 years 10 months ago #5849
|
|
Please Connexion or Create an account to join the conversation. |
Re: respuesta de la MOB 03 13 years 10 months ago #5850
|
|
Please Connexion or Create an account to join the conversation. |


