Welcome, Guest
Username: Password: Remember me

TOPIC:

Re: Síntesis de heterociclos 13 years 10 months ago #5403

hola esta es la propuesta de la molécula 11

Please Connexion or Create an account to join the conversation.

Re: Síntesis de heterociclos 13 years 10 months ago #5405

hola amigos del foro contesto la pregunta de sintesis de heterociclos el ejercicio numero 1 espero que este correcto atte. maria estefania

Please Connexion or Create an account to join the conversation.

Re: Síntesis de heterociclos 13 years 10 months ago #5407

hola amigos les mando la molécula 6

File Attachment:

File Name: molecula_6_2.pdf
File Size:23 KB

Please Connexion or Create an account to join the conversation.

Re: Síntesis de heterociclos 13 years 10 months ago #5412

hola amigos del foro ,propongo esta respuesta a la molecula Nº 12 espero me ayuden a corregir si esta mal:laugh: saludos a todos

Please Connexion or Create an account to join the conversation.

Re: Síntesis de heterociclos 13 years 10 months ago #5413

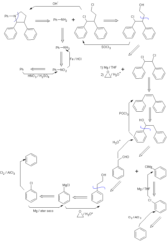
Hola amigos, les mando mi propuesta para el ejercicio Nº 11.
:laugh:

Please Connexion or Create an account to join the conversation.

Last edit: by dora.

Re: Síntesis de heterociclos 13 years 10 months ago #5414

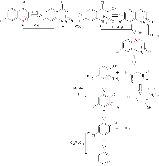
HOLA A TODOS DEL FORO LES PUBLICO UNA POSIBLE RESPUESTA DE LA MOLÉCULA 6

Please Connexion or Create an account to join the conversation.

Time to create page: 0.254 seconds