|
Welcome,
Guest
|
TOPIC:
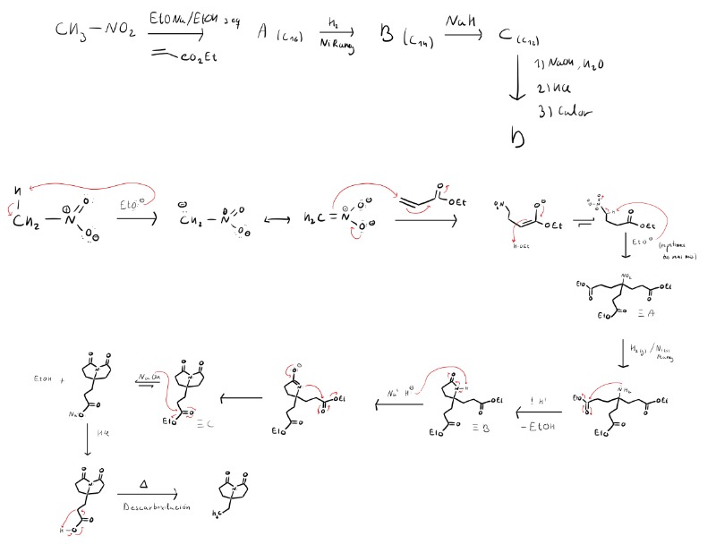
Algo bloqueado 1 year 11 months ago #14477
|
|
Please Connexion or Create an account to join the conversation. |
Algo bloqueado 1 year 11 months ago #14478
|
|
Please Connexion or Create an account to join the conversation. |
Algo bloqueado 1 year 11 months ago #14479
|
|
Please Connexion or Create an account to join the conversation. |
Algo bloqueado 1 year 11 months ago #14482
|
|
Please Connexion or Create an account to join the conversation. |
Algo bloqueado 1 year 11 months ago #14485
|
|
Please Connexion or Create an account to join the conversation. |
Algo bloqueado 1 year 11 months ago #14488
|
|
Please Connexion or Create an account to join the conversation. |


