Welcome, Guest
Username: Password: Remember me

TOPIC:

Re: Síntesis por el método de las desconexiones 11 years 5 months ago #8317

Hola Franz,

Espero que te guste mi ayuda

Attachment image_2014-09-22.jpg not found


Saludos
Attachments:

Please Connexion or Create an account to join the conversation.

Re: Síntesis por el método de las desconexiones 11 years 5 months ago #8318

Hola
Attachments:

Please Connexion or Create an account to join the conversation.

Re: Síntesis por el método de las desconexiones 11 years 5 months ago #8321

Hola Foreros,

Creo que alguin intentó hacer esta molécula y la puso en otro foro.

Attachment image_2014-09-23.jpg not found



Aquí va el plan de síntesis

Saludos
Attachments:

Please Connexion or Create an account to join the conversation.

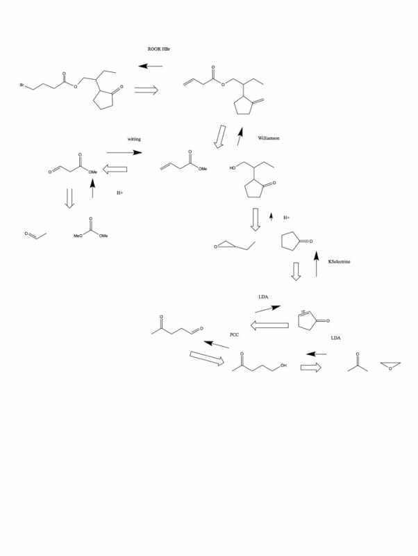
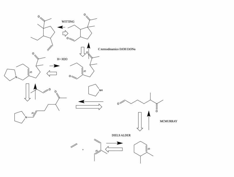
Re: Síntesis por el método de las desconexiones 11 years 5 months ago #8322

Hola,

En la molécula que subí anteriormente he escrito en un paso McMurray.

MCMurray es para unir dos carbono los y convertirlo en alqueno ,lo correcto sería ozonolisis en forma reductiva con una segunda etapa con Zn

Saludos

Please Connexion or Create an account to join the conversation.

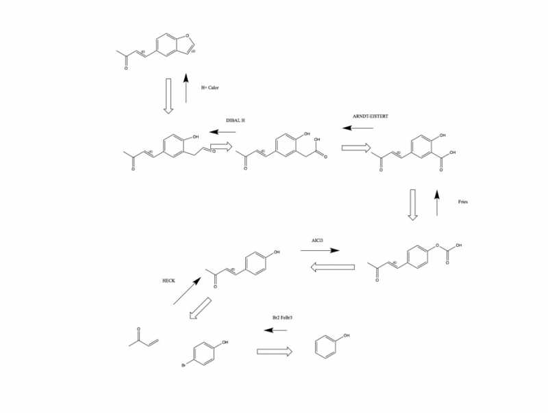
Re: Síntesis por el método de las desconexiones 11 years 5 months ago #8323

Hola Foreros,

Plan de síntesis de la molécula objetivó número 6

Es un benzofurano y en este foro el la parte de síntesis el señor wilbert nos explica ciertas rutas sintéticas.
He preferido hacer una síntesis alternativa a las explicadas en el apartado de síntesis para aprender otro tipo de formación de benzofuranos y que me digan su opinión.


Attachment image_2014-09-23-2.jpg not found



Saludos
Attachments:

Please Connexion or Create an account to join the conversation.

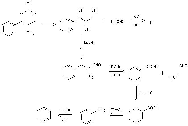
Re: Síntesis por el método de las desconexiones 11 years 5 months ago #8326

Esta es mi respuesta, atte. Aydee Jhovanna Coro A.
Attachments:

Please Connexion or Create an account to join the conversation.