Welcome, Guest
Username: Password: Remember me

TOPIC:

Re: Problemas de Síntesis 12 years 4 months ago #7435

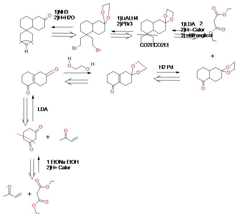
Attachment MoleculaK.gif not found

Attachments:

Please Connexion or Create an account to join the conversation.

Re: Problemas de Síntesis 12 years 4 months ago #7436

Hola,
Ya lo siento por tanto error pero he cambiado de programa y he tenido que coger el toque,

Saludos

Please Connexion or Create an account to join the conversation.

Re: Problemas de Síntesis 12 years 4 months ago #7437

Attachment MoleculaK.gif not found


Lo subo con una pequena correccion

Saludos
Attachments:

Please Connexion or Create an account to join the conversation.