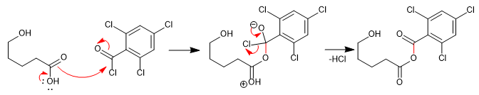
En 1979, Yamaguchi et al ont développé une procédure pour obtenir des esters et des lactones dans des conditions douces par alcoolyse de l'anhydride mixte correspondant.
La formation d'une lactone part du traitement de l'hydroxyacide par le chlorure de 2,4,6-trichlorobenzoyle en présence de triéthylamine, nécessaire pour neutraliser l'acide chlorhydrique libéré à ce stade. L'anhydride mixte produit est traité avec du DMAP dans du toluène, dans des conditions de dilution élevée, donnant la lactone souhaitée.

Mécanisme:
1. Formation de l'anhydride mixte

2. Estérification intramoléculaire catalysée par DMAP
