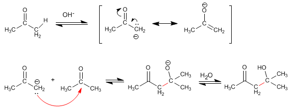
Ketones are less reactive than aldehydes and give a very low yield in aldol condensation. Thus, two propanone molecules condense to form the corresponding aldol with a 2% yield. High percentages of the product can be achieved by separating it from the reaction medium as it is being formed, or by heating it to dehydrate it. In both ways the aldol equilibria shift towards the final product.

aldolica-cetonas01.gif
Reaction Mechanism:

aldolica-cetonas02.gif

The final dehydration allows the displacement of the equilibria. An extraction of the aldol from the reaction medium can also be carried out to favor the reaction.

aldolica-cetonas03.gif