¿Te cuesta entender la Química Orgánica?
Cursos de Química Orgánica para los Grados en Química, Ingeniería Química, Biotecnología y Farmacia de las Universidades españolas.
Material específico para cada Universidad con teoría, PAs, TGs y exámenes resueltos en vídeo. Soporte para dudas por WhatsApp. Coste 30 €/mes.
Más información en www.foroquimico.com
TEORÍA REACCIONES DE ALQUENOS
- Detalles
- Germán Fernández
- TEORÍA REACCIONES DE ALQUENOS
- Visto: 141529
La reacción característica de los alquenos es la adición de sustancias al doble enlace, según la ecuación: 
- Detalles
- Germán Fernández
- TEORÍA REACCIONES DE ALQUENOS
- Visto: 189800
La hidrogenación es la adición de hidrógeno al doble enlace para formar alcanos.
Platino y paladio son los catalizadores más comunmente usados en la hidrogenación de alquenos. El paladio se emplea en forma de polvo absorbido en carbón (Pd/C). El platino se mplea como PtO2 (Catalizador de Adams).
[1 ] 2-Buteno
[2 ] Butano
[3 ] Ciclopenteno
[4 ] Ciclopentano
- Detalles
- Germán Fernández
- TEORÍA REACCIONES DE ALQUENOS
- Visto: 10131
Usa el editor para dibujar el producto de la primera reacción y pulsa en el botón "Respuesta". En la pantalla de información te dirá si es correcto y los puntos que vas acumulando o perdiendo. Borra la molécula con el botón que tiene una pantalla blanca y selecciona el siguiente producto de reacción.

- Detalles
- Germán Fernández
- TEORÍA REACCIONES DE ALQUENOS
- Visto: 100520

- Detalles
- Germán Fernández
- TEORÍA REACCIONES DE ALQUENOS
- Visto: 128079

- Detalles
- Germán Fernández
- TEORÍA REACCIONES DE ALQUENOS
- Visto: 8840
Usa el editor para dibujar la primera molécula y pulsa en el botón "Respuesta". En la pantalla de información te dirá si es correcto y los puntos que vas acumulando o perdiendo. Borra la molécula con el botón que tiene una pantalla blanca y selecciona la siguiente molécula.

- Detalles
- Germán Fernández
- TEORÍA REACCIONES DE ALQUENOS
- Visto: 204973

- Detalles
- Germán Fernández
- TEORÍA REACCIONES DE ALQUENOS
- Visto: 10110
Usa el editor para dibujar el producto de la primera reacción y pulsa en el botón "Respuesta". En la pantalla de información te dirá si es correcto y los puntos que vas acumulando o perdiendo. Borra la molécula con el botón que tiene una pantalla blanca y selecciona el siguiente producto de reacción.

- Detalles
- Germán Fernández
- TEORÍA REACCIONES DE ALQUENOS
- Visto: 117801
El cloro y el bromo se adicionan a alquenos para dar 1,2-dihaloalcanos. Por ejemplo, el 1,2-dicloroetano es sintetizado por la adición de cloro a eteno. 
- Detalles
- Germán Fernández
- TEORÍA REACCIONES DE ALQUENOS
- Visto: 100406
Los alquenos reaccionan con halógenos en medio acuoso para formar halohidrinas, compuestos que contienen un halógeno y un grupo hidroxilo en posiciones vecinas.

- Detalles
- Germán Fernández
- TEORÍA REACCIONES DE ALQUENOS
- Visto: 85203
Los alquenos pueden hidratarse con acetato de mercurio acuoso seguido de reducción con borohidruro de sodio. Esta reacción produce alcoholes y sigue la regla de Markovnikov.

- Detalles
- Germán Fernández
- TEORÍA REACCIONES DE ALQUENOS
- Visto: 103915
La hidroboración es una reacción en la cual un hidruro de boro [2 ] reacciona con un alqueno [1 ] para dar un organoborano [3 ].

- Detalles
- Germán Fernández
- TEORÍA REACCIONES DE ALQUENOS
- Visto: 7812
Usa el editor para dibujar el producto de la primera reacción y pulsa en el botón "Respuesta". En la pantalla de información te dirá si es correcto y los puntos que vas acumulando o perdiendo. Borra la molécula con el botón que tiene una pantalla blanca y selecciona el siguiente producto de reacción.

- Detalles
- Germán Fernández
- TEORÍA REACCIONES DE ALQUENOS
- Visto: 80092
La dihidroxilación de un alqueno consiste en añadir un grupo -OH a cada carbono para formar dioles vecinales. Esta reacción se puede realizar con tetraóxido de osmio en agua oxigenada, o bien con permanganato de potasio en agua.

- Detalles
- Germán Fernández
- TEORÍA REACCIONES DE ALQUENOS
- Visto: 103462
Los alquenos reaccionan con perácidos (peroxiácidos) para formar epóxidos. Los epóxidos son ciclos de tres miembros que contienen oxígeno.

- Detalles
- Germán Fernández
- TEORÍA REACCIONES DE ALQUENOS
- Visto: 182072
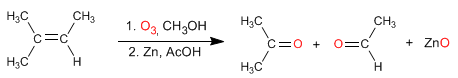
Los alquenos reaccionan con ozono para formar aldehídos, cetonas o mezclas de ambos después de una etapa de reducción.

- Detalles
- Germán Fernández
- TEORÍA REACCIONES DE ALQUENOS
- Visto: 106897
En 1929, el profesor S. Kharasch de la Universidad de Chicago observó la adición antiMarkovnikov de HBr a un alqueno debida a la presencia de peróxidos en el medio de reacción.

- Detalles
- Germán Fernández
- TEORÍA REACCIONES DE ALQUENOS
- Visto: 114912
Los alquenos, en presencia de ácido sulfurico concentrado, condensan formado cadenas llamadas polímeros. Veamos un ejemplo con el 2-Metilpropeno


