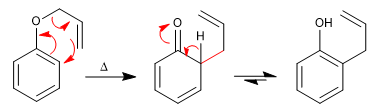
Alil fenil eter mengalami reaksi bersama ketika dipanaskan, melibatkan pergerakan enam elektron, yang disebut penataan ulang Claisen. Zat antara yang terbentuk dalam reaksi berenergi tinggi dan dengan cepat mengalami tautomerisasi untuk menghasilkan produk akhir.

Mekanisme penataan ulang Claisen
Ini adalah reaksi terpadu di mana ikatan terbentuk dan putus secara bersamaan.
