logo foroquimico web¿Te cuesta entender la Química Orgánica?
Cursos de Química Orgánica para los Grados en Química, Ingeniería Química, Biotecnología y Farmacia de las Universidades españolas. 
Material específico para cada Universidad con teoría, ejercicios y exámenes resueltos en vídeo, creado por Germán Fernández.  Soporte para dudas por WhatsApp. .

Más información en www.foroquimico.com

 Si prefieres un curso de química orgánica tanto básica como avanzada te invito a acceder al canal:  https://www.youtube.com/channel/UC_RiUaA2326jO9XozAA4q2g , en el que encontrarás más de 750 vídeos de teoría y ejercicios.

Bienvenido, Invitado
Nombre de Usuario: Contraseña: Recordarme
  • Página:
  • 1

TEMA:

alil boranos 4 años 2 meses antes #13601

Hola me gustaria que alguien me dijera si es correcto mi respuesta
Gracias por adelantado!!
Adjuntos:

Por favor, Identificarse o Crear cuenta para unirse a la conversación.

alil boranos 4 años 2 meses antes #13605

No veo la pregunta

Por favor, Identificarse o Crear cuenta para unirse a la conversación.

alil boranos 4 años 2 meses antes #13608

Esta en la foto adjuntada, para saber si el producto que he propuesto es correcto o no.

Por favor, Identificarse o Crear cuenta para unirse a la conversación.

alil boranos 4 años 2 meses antes #13610

  • ccv
  • Avatar de ccv
  • Mensajes: 349
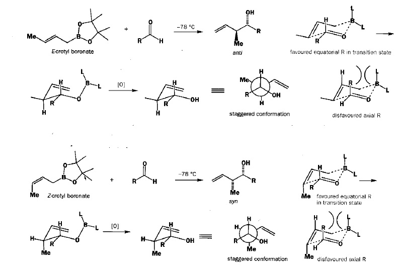
Hola forera, tu respuesta es correcta, para otro casos debes considerar la esterioquímica del Alquil Borano como se ve en la figura que inserto.
Espero te sirva, saludos B)

Adjuntos:

Por favor, Identificarse o Crear cuenta para unirse a la conversación.

alil boranos 4 años 2 meses antes #13613

Muchas gracias!!! Lo tendre en cuenta

Por favor, Identificarse o Crear cuenta para unirse a la conversación.

  • Página:
  • 1
Tiempo de carga de la página: 0.361 segundos