¿Te cuesta entender la Química Orgánica?
Cursos de Química Orgánica para los Grados en Química, Ingeniería Química, Biotecnología y Farmacia de las Universidades españolas.
Material específico para cada Universidad con teoría, ejercicios y exámenes resueltos en vídeo, creado por Germán Fernández. Soporte para dudas por WhatsApp. .
Más información en www.foroquimico.com
Si prefieres un curso de química orgánica tanto básica como avanzada te invito a acceder al canal: https://www.youtube.com/channel/UC_RiUaA2326jO9XozAA4q2g , en el que encontrarás más de 750 vídeos de teoría y ejercicios.
|
Bienvenido,
Invitado
|
TEMA:
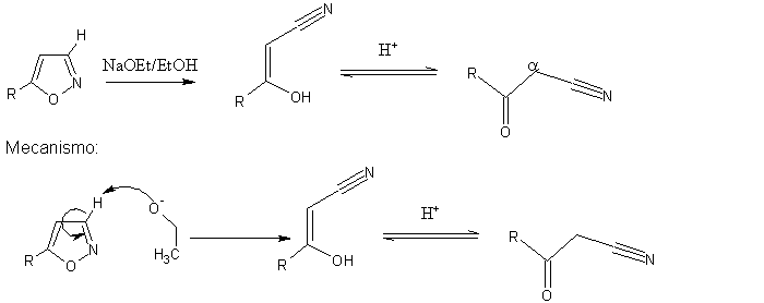
Problema comienza con isoxazol termina con PY 17 años 4 meses antes #196
|
|
Por favor, Identificarse o Crear cuenta para unirse a la conversación. |
Re: Problema comienza con isoxazol termina con PY 17 años 4 meses antes #197
|
|
Por favor, Identificarse o Crear cuenta para unirse a la conversación. |
Re: Problema comienza con isoxazol termina con PY 17 años 4 meses antes #198
|
|
Por favor, Identificarse o Crear cuenta para unirse a la conversación. |
Re: Problema comienza con isoxazol termina con PY 17 años 4 meses antes #199
|
|
Por favor, Identificarse o Crear cuenta para unirse a la conversación. |
Re: Problema comienza con isoxazol termina con PY 17 años 4 meses antes #201
|
|
Por favor, Identificarse o Crear cuenta para unirse a la conversación. |
Re: Problema comienza con isoxazol termina con PY 17 años 4 meses antes #202
|
|
Por favor, Identificarse o Crear cuenta para unirse a la conversación. |

